JavaScript is disabled in your browser. Please enable JavaScript to view this website.
AB119693

Malate Dehydrogenase 2 (MDH2) Activity Assay

Malate Dehydrogenase 2 (MDH2) Activity Assay

Be the first to review this product! Submit a review

|

(14 Publications)

Malate Dehydrogenase 2 (MDH2) Activity Assay (ab119693) is used to determine mitochondrial malate dehydrogenase activity (MDH2) in a sample.

查看别名

MDH2

4 Images
ELISA - Malate Dehydrogenase 2 (MDH2) Activity Assay (AB119693)
  • ELISA

Supplier Data

ELISA - Malate Dehydrogenase 2 (MDH2) Activity Assay (AB119693)

MDH2 activity measurements of serially diluted cultured HepG2 cell extracts.

ELISA - Malate Dehydrogenase 2 (MDH2) Activity Assay (AB119693)
  • ELISA

Supplier Data

ELISA - Malate Dehydrogenase 2 (MDH2) Activity Assay (AB119693)

MDH2 activity measurements of serially diluted human liver homogenate, rat heart homogenate, and mouse liver homogenate.

Immunocytochemistry/ Immunofluorescence - Malate Dehydrogenase 2 (MDH2) Activity Assay (AB119693)
  • ICC/IF

Supplier Data

Immunocytochemistry/ Immunofluorescence - Malate Dehydrogenase 2 (MDH2) Activity Assay (AB119693)

MDH2 antibody showing reactivity in a mitochondrial intracellular pattern with immunofluorescence microscopy.

ELISA - Malate Dehydrogenase 2 (MDH2) Activity Assay (AB119693)
  • ELISA

Supplier Data

ELISA - Malate Dehydrogenase 2 (MDH2) Activity Assay (AB119693)

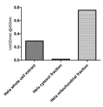
Figures 7. The isoform specificity of the malate activity measured by this kit is confirmed by measuring the MDH activity from different cell fractions. Activity was only detected from the mitochondrial fraction (MDH2), not the cytosol fraction (MDH1).

关键信息

检测方法

Colorimetric

样品类型

Cell culture extracts, Tissue Extracts

反应种属

Mouse, Rat, Human

检测类型

Enzyme activity

灵敏度

= 0.78 µg/mL

范围

0.78 - 200 µg/mL

检测平台

Microplate reader

反应性数据

{ "title": "Reactivity Data", "filters": { "stats": ["", "Reactivity", "Dilution Info", "Notes"] }, "values": { "Enzyme activity assay": { "reactivity":"TESTED_AND_REACTS", "dilution-info":"", "notes":"<p></p>" } } }

产品详情

Malate Dehydrogenase 2 (MDH2) Activity Assay (ab119693) is used to determine mitochondrial malate dehydrogenase activity (MDH2) in a sample. The enzyme is captured within the wells of the microplate and activity is determined by following the production of NADH in the following MDH2 catalyzed reaction: malate + NAD to oxaloacetic acid + NADH (Absorbance at 450 nm). The generation of NADH is coupled to the 1:1 reduction of a reporter dye to yield a colored (yellow) reaction product whose concentration can be monitored by measuring the increase in absorbance at 450 nm. In each well, ab119693 immunocaptures only native MDH2 from the chosen sample; this removes all other enzymes, including MDH1 in cytosol.

This product allows researchers to focus on TCA cycle, studying isotype-specific malate dehydrogenase (MDH2) activity assay without the necessity of isolating mitochondria.

Other Notes
Mitochondrial malate dehydrogenase (MDH2, P40926) is a 35.5 kDa enzyme that catalyzes the conversion of malate into oxaloacetate (using NAD+) and vice versa. (EC 1.1.1.37) Several isozymes of malate dehydrogenase exist, depending on where they are localized in the cell and their specific dependence on NAD+ or NADP+ (only in chloroplasts). There are two main isoforms in eukaryotic cells. One is found in the mitochondrial matrix (MDH2), participating as a key enzyme in the citric acid cycle that catalyzes the oxidation of malate. The other is found in the cytoplasm (MDH1), assisting the malate-aspartate shuttle with exchanging reducing equivalents so that malate can pass through the mitochondrial membrane to be transformed into oxaloacetate for further cellular processes. Because malate dehydrogenase is closely tied to the citric acid cycle, regulation is highly dependent on TCA products. High malate concentrations stimulate MDH activity, and, in a converse manner, high oxaloacetate concentrations inhibit the enzyme. Enzyme activity is enhanced by acetylation.

Storage: All components are shipped cold. Reagent dye, coupler, malate and NAD+ are shipped lyophilized. Before use rehydrate by adding 0.25 mL pure H2O to each tube and vortex each tube thoroughly to dissolve. After hydration unused amounts of these four materials should be stored at -80°C for 6 months. Store all other components at 4°C.

精确度

[ { "reproducibilityType": "Inter", "sample": "Sample 1", "replicates": 3, "mean": null, "standardDeviation": null, "coefficientOfVariability": "13.9" }, { "reproducibilityType": "Intra", "sample": "Sample 1", "replicates": 3, "mean": null, "standardDeviation": null, "coefficientOfVariability": "4.1" } ]

规格

{ "values": { "1x96Tests": { "sellingSize": "1 x 96 Tests", "publicAssetCode":"ab119693-1x96Tests", "assetComponentDetails": [ { "size":"1 x 8 mL", "name":"10X Blocking Buffer", "number":"AB119693-CMP08", "productcode":"" }, { "size":"1 x 1 Unit", "name":"100X NAD+", "number":"AB119693-CMP01", "productcode":"" }, { "size":"1 x 1 Unit", "name":"100X Reagent Dye", "number":"AB119693-CMP06", "productcode":"" }, { "size":"1 x 1 Unit", "name":"100X Coupler", "number":"AB119693-CMP04", "productcode":"" }, { "size":"1 x 1 Unit", "name":"MDH2 Microplate", "number":"AB119693-CMP09", "productcode":"" }, { "size":"1 x 15 mL", "name":"Extraction Buffer (ab260490)", "number":"AB119693-CMP03", "productcode":"" }, { "size":"1 x 1 Unit", "name":"100X Sodium Malate", "number":"AB119693-CMP07", "productcode":"" }, { "size":"1 x 24 mL", "name":"Base Buffer", "number":"AB119693-CMP05", "productcode":"" }, { "size":"1 x 20 mL", "name":"20X Buffer", "number":"AB119693-CMP02", "productcode":"" } ] } } }

性能和储存信息

运输条件
Blue Ice
推荐的短期储存条件
+4°C
推荐的长期储存条件
+4°C
储存信息
+4°C

补充信息

This supplementary information is collated from multiple sources and compiled automatically.

MDH2 also known as malate dehydrogenase 2 or mitochondrial malate dehydrogenase is an enzyme with a molecular mass of approximately 35 kDa. This enzyme catalyzes the conversion of malate to oxaloacetate using NAD+ as a cofactor. It is predominantly expressed in the mitochondria where it plays an important role in cellular respiration. The enzyme enables the malate dehydrogenase reaction which is key for the functioning of the tricarboxylic acid cycle.
Biological function summary

MDH2 participates in the critical process of energy production within the cell. While it does not form a complex itself its activity is intimately connected with other enzymes in mitochondrial energy metabolism. The malate dehydrogenase assay often measures the activity of MDH2 to understand the metabolic status of cells. By facilitating the oxidation of malate MDH2 aids in maintaining the efficiency of the mitochondrial electron transport chain by regenerating NADH.

Pathways

The enzyme is essential in the tricarboxylic acid (TCA) cycle and the malate-aspartate shuttle. In the TCA cycle MDH2 collaborates with enzymes like citrate synthase and isocitrate dehydrogenase to assist in the conversion of acetyl-CoA into energy-rich molecules. The malate-aspartate shuttle on the other hand involves MDH2 working closely with aspartate transaminase to transfer reducing equivalents into the mitochondria. These pathways highlight MDH2's importance in cellular energy homeostasis.

Mutations or dysregulation in MDH2 have connections to certain metabolic conditions and cancers. For example alterations in MDH2 activity might contribute to conditions like mitochondrial myopathy altering energy metabolism. Moreover MDH2 is associated with NADH-producing enzymes whose dysregulation can support oncogenic pathways in cancer. Understanding these associations helps researchers pursue therapeutic targets that modulate MDH2 activity.

产品实验方案

文献 (14)

Recent publications for all applications. Explore the full list and refine your search

Journal of biochemical and molecular toxicology 38:e23854 PubMed39287333

2024

Malate dehydrogenase-2 inhibition shields renal tubular epithelial cells from anoxia-reoxygenation injury by reducing reactive oxygen species.

Applications

Unspecified application

Species

Unspecified reactive species

Georgios Pissas,Maria Tziastoudi,Maria Divani,Christina Poulianiti,Maria Anna Polyzou Konsta,Evangelos Lykotsetas,Vasilios Liakopoulos,Ioannis Stefanidis,Theodoros Eleftheriadis

Advanced science (Weinheim, Baden-Wurttemberg, Germany) 11:e2401171 PubMed38973363

2024

USP5 Promotes Ripretinib Resistance in Gastrointestinal Stromal Tumors by MDH2 Deubiquition.

Applications

Unspecified application

Species

Unspecified reactive species

Haoyu Sun,Zhiwei Cui,Chao Li,Zhishuang Gao,Jun Xu,Yibo Bian,Tianhao Gu,Jianan Zhang,Tengyun Li,Qianzheng Zhou,Dinghua Yang,Zhongyuan He,Bowen Li,Fengyuan Li,Zekuan Xu,Hao Xu

Nature communications 14:4360 PubMed37468519

2023

Nuclear translocation of mitochondrial dehydrogenases as an adaptive cardioprotective mechanism.

Applications

Unspecified application

Species

Unspecified reactive species

Shubhi Srivastava,Priyanka Gajwani,Jordan Jousma,Hiroe Miyamoto,Youjeong Kwon,Arundhati Jana,Peter T Toth,Gege Yan,Sang-Ging Ong,Jalees Rehman

Molecular genetics and metabolism reports 33:100931 PubMed36420423

2022

Malate dehydrogenase 2 deficiency is an emerging cause of pediatric epileptic encephalopathy with a recognizable biochemical signature.

Applications

Unspecified application

Species

Unspecified reactive species

Jessica R C Priestley,Lisa M Pace,Kuntal Sen,Anjali Aggarwal,Cesar Augusto P F Alves,Ian M Campbell,Sanmati R Cuddapah,Nicole M Engelhardt,Marina Eskandar,Paloma C Jolín García,Andrea Gropman,Ingo Helbig,Xinying Hong,Vykuntaraju K Gowda,Laina Lusk,Pamela Trapane,Varunvenkat M Srinivasan,Pim Suwannarat,Rebecca D Ganetzky

Biomolecules 12: PubMed36291624

2022

Inhibition of Malate Dehydrogenase-2 Protects Renal Tubular Epithelial Cells from Anoxia-Reoxygenation-Induced Death or Senescence.

Applications

Unspecified application

Species

Unspecified reactive species

Theodoros Eleftheriadis,Georgios Pissas,Spyridon Golfinopoulos,Maria Efthymiadi,Vassilios Liakopoulos,Ioannis Stefanidis

Nutrients 14: PubMed35406095

2022

The Role of Palmitoleic Acid in Regulating Hepatic Gluconeogenesis through SIRT3 in Obese Mice.

Applications

Unspecified application

Species

Unspecified reactive species

Xin Guo,Xiaofan Jiang,Keyun Chen,Qijian Liang,Shixiu Zhang,Juan Zheng,Xiaomin Ma,Hongmei Jiang,Hao Wu,Qiang Tong

Clinical genetics 101:260-264 PubMed34766628

2021

Bi-allelic variants in MDH2: Expanding the clinical phenotype.

Applications

Unspecified application

Species

Unspecified reactive species

Chiara Ticci,Claudia Nesti,Anna Rubegni,Stefano Doccini,Jacopo Baldacci,Flavio Dal Canto,Luca Ragni,Duccio M Cordelli,Maria Alice Donati,Filippo M Santorelli

The Journal of clinical endocrinology and metabolism 107:668-684 PubMed34718610

2021

Gain of Function of Malate Dehydrogenase 2 and Familial Hyperglycemia.

Applications

Unspecified application

Species

Unspecified reactive species

Prapaporn Jungtrakoon Thamtarana,Antonella Marucci,Luca Pannone,Amélie Bonnefond,Serena Pezzilli,Tommaso Biagini,Patinut Buranasupkajorn,Timothy Hastings,Christine Mendonca,Lorella Marselli,Rosa Di Paola,Zuroida Abubakar,Luana Mercuri,Federica Alberico,Elisabetta Flex,Julian Ceròn,Montserrat Porta-de-la-Riva,Ornella Ludovico,Massimo Carella,Simone Martinelli,Piero Marchetti,Tommaso Mazza,Philippe Froguel,Vincenzo Trischitta,Alessandro Doria,Sabrina Prudente

Cell stem cell 27:748-764.e4 PubMed32822582

2020

Nicotinamide Metabolism Mediates Resistance to Venetoclax in Relapsed Acute Myeloid Leukemia Stem Cells.

Applications

Unspecified application

Species

Unspecified reactive species

Courtney L Jones,Brett M Stevens,Daniel A Pollyea,Rachel Culp-Hill,Julie A Reisz,Travis Nemkov,Sarah Gehrke,Fabia Gamboni,Anna Krug,Amanda Winters,Shanshan Pei,Annika Gustafson,Haobin Ye,Anagha Inguva,Maria Amaya,Mohammad Minhajuddin,Diana Abbott,Michael W Becker,James DeGregori,Clayton A Smith,Angelo D'Alessandro,Craig T Jordan

Nature communications 11:3360 PubMed32620763

2020

Silencing hepatic MCJ attenuates non-alcoholic fatty liver disease (NAFLD) by increasing mitochondrial fatty acid oxidation.

Applications

Unspecified application

Species

Unspecified reactive species

Lucía Barbier-Torres,Karen A Fortner,Paula Iruzubieta,Teresa C Delgado,Emily Giddings,Youdinghuan Chen,Devin Champagne,David Fernández-Ramos,Daniela Mestre,Beatriz Gomez-Santos,Marta Varela-Rey,Virginia Gutiérrez de Juan,Pablo Fernández-Tussy,Imanol Zubiete-Franco,Carmelo García-Monzón,Águeda González-Rodríguez,Dhaval Oza,Felipe Valença-Pereira,Qian Fang,Javier Crespo,Patricia Aspichueta,Frederic Tremblay,Brock C Christensen,Juan Anguita,María Luz Martínez-Chantar,Mercedes Rincón
View all publications
websiteProtocolBooklet
en

Abcam Product Promise

我们致力于为您的研究提供高质量的试剂,为您科研的每一步提供支持。若我们的产品未能达到预期性能,我们向您提供 Abcam Product Promise 保障。
详情请参阅我们的条款与条件。

Please note: All products are 'FOR RESEARCH USE ONLY. NOT FOR USE IN DIAGNOSTIC OR THERAPEUTIC PROCEDURES'.

For licensing inquiries, please contact partnerships@abcam.com